色差仪常用公式有几个?不同公式什么优缺点?
色差仪作为颜色比对仪器,其内部配置了多种类型的色差公式,用于比较和计算颜色之间的差异,将颜色差异用可视化的数字表示出来。那么,色差仪常用公式有几个?不同公式什么优缺点?本文对色差仪常用色差公式的类型及不同色差公式的优缺点做了介绍。

ΔE*ab色差公式及优缺点:
ΔE*ab色差公式基于CIELAB颜色空间,CIELAB是一种均匀颜色空间,L代表明度,范围从0(黑色)到100(白色);a表示红绿色度,正值为红色方向,负值为绿色方向;b*表示黄蓝色度,正值为黄色方向,负值为蓝色方向。该公式通过计算两个颜色在这三个维度上的差值平方和的平方根,来衡量颜色差异,其表达式为:

该色差公式计算简单直观,容易理解和应用,在许多工业领域的颜色质量控制中广泛使用。但该色差公式在某些颜色区域,尤其是低饱和度或色调变化较大的区域,与人眼实际的颜色感知差异存在不一致,可能导致对颜色差异的评估不准确。
优点:两个颜色之间的色差用两个颜色点之间的欧几里得距离表示。
缺点:计算结果与目测感觉并不总能保持一致(比如一对嫩黄样品和一对深灰样品,二者的色差值均等于1,但目测会感觉深灰样品的差别比嫩黄样品要大几倍。)
ΔE*94色差公式及优缺点:
ΔE*94色差公式基于CIELAB颜色空间,是CIE在1994年提出的改进公式。考虑了不同颜色区域人眼对颜色差异的敏感度不同,引入了权重因子,其表达式为:

其中C*ab=[(a*)2+(b*)2]1/2表示彩度,H*ab为色调差,kL、kC、kH是根据应用场景设定的常数(一般在纺织应用中,kL=1,kC=kH=2),SL、SC、SH是与颜色相关的权重函数。在纺织、印染等行业中,对于小色差的评估比ΔE*ab更符合人眼视觉特性,提高了颜色差异评估的准确性。但该公式相对复杂,计算量较大,且权重因子的选择需要根据具体应用场景确定,增加了使用的难度。
优点:引入了明度权重函数l和彩度权重函数c,改进了 CIELAB颜色空间的均匀性。
缺点:在a*b*平面上,计算得到的容差椭圆的△C轴全部指向原点,而目视评定结果的容差椭圆。
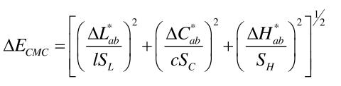
ΔEcmc(l:c)色差公式及优缺点:
ΔEcmc(l:c)基于CIELAB颜色空间,由英国染色师和配色师协会(CMC)提出。公式为:

其中2:1和1:1表示不同的权重比例,2:1中彩度的权重相对较大(常用于纺织行业,更注重颜色的鲜艳度差异);1:1对明度、彩度和色调的权重相对较为平均。SL、SC、SH是与颜色相关的权重函数。ΔEcmc(l:c)色差公式与人眼视觉感知有很好的一致性,能更准确地反映人对颜色差异的主观感受,在颜色质量控制和颜色匹配中表现出色。广泛应用于纺织、印染、涂料等行业对颜色差异要求较高的质量控制、颜色配方调整和颜色评估等场景。
优点:引入了明度权重函数l和彩度权重函数c,改进了 CIELAB颜色空间的均匀性。
缺点:在a*b*平面上,计算得到的容差椭圆的△C轴全部指向原点,而目视评定结果的容差椭圆。
ΔE*00色差公式及优缺点:
ΔE*00色差公式基于CIELAB颜色空间的进一步改进,是目前公认与人眼视觉感知一致性最好的色差公式,公式为:

它全面考虑了颜色的色调、彩度、明度以及视觉适应等多种因素对色差计算的影响。△E*00公式包含了复杂的计算和多个修正项,通过对这些因素的综合处理来准确计算颜色差异。在各种颜色区域都能更准确地模拟人眼对颜色差异的感知,大大提高了颜色差异评估的准确性,适用于高端颜色质量控制、颜色科学研究等对精度要求极高的领域。
优点:重新标定了近中性色域的a*轴,改善了中性色的预测性能;将CIE94公式中的明度权重函数修改为近似V形的函数;在色相权重函数中考虑了色相角,体现了色相容限随颜色色相而变化;包含了椭圆选择项,以体现在蓝色区域的色差容限椭圆不指向中心点的现象。
缺点:其计算过程比较的复杂,将更多的影响因素都考虑在内。
同类文章排行
- D65光源是什么光源?D65光源光色及光谱解析
- 密度仪什么功能?密度计在印刷行业应用分析
- TL84光源是什么光源?TL84光源光谱是怎样的?
- D65光源光色什么特点?D65光源光谱是怎样的?
- 多角度色差仪测色原理及不同角度测试数据分析方法
- 标准光源箱CWF光源的光谱分布曲线是怎样的?
- 六光源箱配置的是哪六种光源?U30光源什么作用?
- 色差仪L、c、h值怎么看?色差仪L、c、h值什么用?
- 颜色表色系统之PCCS颜色系统的标号规则是怎样的?
- 标准光源箱U30荧光光源的光色是怎样的?
最新资讯文章
- 大口径色差仪选型:型号+方案全解析助力用户合理选型
- 分光测色仪CIELab测色空间几个常见的核心参数解析
- 粉末颜色不好测?粉末颜色测量难点及测色方法解析
- 咖啡、番茄分光色差仪PS808CT助力食品行业品质升级
- D65光源是什么光源?D65光源光色及光谱解析
- 密度仪什么功能?密度计在印刷行业应用分析
- TL84光源是什么光源?TL84光源光谱是怎样的?
- D65光源光色什么特点?D65光源光谱是怎样的?
- 多角度色差仪测色原理及不同角度测试数据分析方法
- 便携式小口径色差仪测量草莓干颜色管控其颜色品质
- 色差仪红绿值a/△a值是怎么分析颜色偏差的?
- 色差仪分光测色仪精度指标重复性到底是什么意思?
- 标准光源箱CWF光源的光谱分布曲线是怎样的?
- 六光源箱配置的是哪六种光源?U30光源什么作用?
- 色差仪L、c、h值怎么看?色差仪L、c、h值什么用?
- 台式液体色度仪测量高粱酒颜色保证其颜色品质的稳定
- 色差仪L、a、b什么意思?色差仪L、a、b怎么看?
- NHG60M曲面光泽度仪怎么测啤酒易拉罐的光泽度?
- 颜色表色系统之PCCS颜色系统的标号规则是怎样的?
- TS7700分光测色仪测量肤色ITA°值评价化妆品美白效果




