色差仪最常用的三个色差公式是哪三个?
色差仪主要用于颜色之间色差值的测量,因其内部一般会配置多种类型的色差公式,用于计算不同颜色之间的差异值,将颜色之间的差异数字量化。那么,色差仪最常用的三个色差公式是哪三个?本文对色差仪最常用的三个色差公式做了介绍。

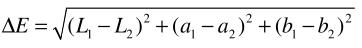
CIE1976L*a*b*色差公式:
CIE1976L*a*b*色差方程(代号为△E*ab)是CIE在1976年在向世界推荐CIELAB色空间的同时,推荐的色差方程,它用CIELAB色空间中2个点的欧氏距离作为2种颜色间的色差.即,设(L1*,a1*,b1*)和(L2*,a2*,b2*)为CIELAB色空间2个颜色的坐标,则二者的色差式如下所示:

CIE1994(△L*△C*ab△H*ab)色差公式:
CIE技术委员会在1994年建立了一个新的色差方程,即CIE1994(△L*△C*ab△H*ab)色差方程,代号为△E*94,简称CIE94。设(L1*,a1*,b1*)和(L2*,a2*,b2*)为CIELAB色空间2个颜色的坐标,则二者的色差如下式所示:

式中,△L*=L1*-L2*,△C*ab=△C*ab,1-△C*ab,2;△Hab=[(△E*ab)2-(△L*)2-(△C*ab)2]1/2;SL=1;SC=1+0.045C*ab;SH=1+0.015C*ab。其中,C*ab,1=[(a1*2+b1*2)]1/2;C*ab,2=[(a2*2+b2*2)1/2。其中,C*ab=[△C*ab,1·△C*ab,2]1/2。参考条件下,KL=KC=KH=1。
CIEDE2000色差公式:
CIEDE2000色差公式是CIE最新推荐的色差公式.该色差公式不仅包含有明度差、彩度差和色调差加权函数,还加人了色调差与彩度差的交叉项和改善中性色色差预测能力的函数项。CIEDE2000色差公式如下式所示:

式中:KL、KC、KH参数分别为根据实际情况许可明度、饱和度和色调的权重。SL、SC及SH分别是明度权重函数、饱和度权重函数和色调权重函数,RT为交互项。
同类文章排行
- D65光源是什么光源?D65光源光色及光谱解析
- 密度仪什么功能?密度计在印刷行业应用分析
- TL84光源是什么光源?TL84光源光谱是怎样的?
- D65光源光色什么特点?D65光源光谱是怎样的?
- 多角度色差仪测色原理及不同角度测试数据分析方法
- 标准光源箱CWF光源的光谱分布曲线是怎样的?
- 六光源箱配置的是哪六种光源?U30光源什么作用?
- 色差仪L、c、h值怎么看?色差仪L、c、h值什么用?
- 颜色表色系统之PCCS颜色系统的标号规则是怎样的?
- 标准光源箱U30荧光光源的光色是怎样的?
最新资讯文章
- 粉末颜色不好测?粉末颜色测量难点及测色方法解析
- 咖啡、番茄分光色差仪PS808CT助力食品行业品质升级
- D65光源是什么光源?D65光源光色及光谱解析
- 密度仪什么功能?密度计在印刷行业应用分析
- TL84光源是什么光源?TL84光源光谱是怎样的?
- D65光源光色什么特点?D65光源光谱是怎样的?
- 多角度色差仪测色原理及不同角度测试数据分析方法
- 便携式小口径色差仪测量草莓干颜色管控其颜色品质
- 色差仪红绿值a/△a值是怎么分析颜色偏差的?
- 色差仪分光测色仪精度指标重复性到底是什么意思?
- 标准光源箱CWF光源的光谱分布曲线是怎样的?
- 六光源箱配置的是哪六种光源?U30光源什么作用?
- 色差仪L、c、h值怎么看?色差仪L、c、h值什么用?
- 台式液体色度仪测量高粱酒颜色保证其颜色品质的稳定
- 色差仪L、a、b什么意思?色差仪L、a、b怎么看?
- NHG60M曲面光泽度仪怎么测啤酒易拉罐的光泽度?
- 颜色表色系统之PCCS颜色系统的标号规则是怎样的?
- TS7700分光测色仪测量肤色ITA°值评价化妆品美白效果
- 标准光源箱U30荧光光源的光色是怎样的?
- 光泽度仪测量角20°角和85°角有什么作用?




