色差仪CIELuv颜色空间是怎么表示颜色的?
CIELuv颜色空间是色差仪中比较常见的一个颜色空间,该颜色空间属于均匀颜色空间,是通过CIEXYZ颜色空间线性转换得到的一个颜色空间。那么,色差仪CIELuv颜色空间是怎么表示颜色的?本文对色差仪CIELuv颜色空间做了简要的介绍。

色差仪CIELuv颜色空间是怎么表示颜色的?
CIELuv颜色空间是CIE规定的均匀颜色空间,CIELuv颜色空间的设计目标是使颜色空间中的欧几里得距离更接近人眼感知的颜色差异,即实现视觉上的均匀性。这使得在CIELuv颜色空间中计算得到的色差与人眼的实际感受更为相符,对于颜色的准确测量、比较和质量控制具有重要意义。
CIELuv颜色空间由L(亮度)、u*(绿-红方向的色度坐标)、v*(蓝-黄方向的色度坐标)构成。L表示颜色的明亮程度,含义与CIELab和CIELCh中的L一致,反映了颜色的明暗程度,取值范围从0(绝对黑色)到100(绝对白色)。u表示绿-红方向的色度,是描述颜色在红绿蓝维度上位置的一个参数。u值的正负和大小反映了颜色在该维度上的偏向和程度。u为正值时,表示颜色在该维度上偏向红色或黄色方向的程度;u*为负值时,表示颜色偏向绿色或蓝色方向的程度。v*表示蓝-黄方向的色度,v值的变化反映了颜色在另一个维度上的偏向和程度,与u相互配合来完整地表达颜色的色度特性。v值为正时,颜色偏向黄色或蓝色方向;v*值为负时,颜色偏向红色或绿色方向。
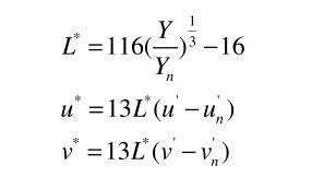
CIELuv颜色空间表达式及色差公式形式:
CIELUV颜色空间是均匀颜色空间,在CIELUV空间中,L*为明度,u*、v*为色品指数。三者相互垂直构成色空间来描述相对应的亮度和色度量:垂直的轴是明度L*,位于水平面且互相垂直的是色品指数u*和 v*。CIELUV颜色空间与CIELAB颜色空间相似,L*,u*,v*是X,Y,Z通过非线性变换得到的,同样用两点间的距离表示颜色之间的色差。从CIEXYZ颜色空间到CIELuv颜色空间的转换,可以利用下列公式来完成:

其中:u'=4X/(X+15Y+3Z),v'=9X(X+15Y+3Z),(Xn、Yn、Zn)定义为参考白色的对应值,u'n和v'n定义为参考白色的转换值,它们的定义可以参照u'和v'的定义方式。
在CIELUV颜色空间中,两个颜色(L*1,u*1,v*1)和(L*2,u*2,v*2)之间的色差 △E*uv为:

色差仪CIELuv颜色空间和CIELab颜色空间的区别:
CIELab颜色空间由三个分量组成,分别是L*(亮度轴),取值范围0(绝对黑色)到100(绝对白色);a*(红绿轴),正值表示偏红,负值表示偏绿,取值范围一般是-127到+127;b*(黄蓝轴),正值表示偏黄,负值表示偏蓝,取值范围通常也是-127到+127。通过这三个轴,能在三维空间中确定颜色的位置。CIELuv颜色空间同样包含L*(亮度轴)表示亮度信息。另外两个轴是u和v(色度轴),u和v的值通过复杂的光谱计算得出,用于描述颜色在色度方面的特性,与红绿色和黄蓝色的属性相关,它们的取值范围会根据具体的计算和颜色范围而有所不同。
CIELab颜色空间的均匀性相对较好,即在该空间中,相同大小的颜色差值在视觉上引起的颜色感知差异大致相同。这使得在CILab颜色空间中计算的色差与人眼的主观感受更为接近,在工业生产和颜色质量控制中,能够更可靠地衡量颜色之间的差异,判断产品颜色是否合格。CIELuv虽然也是为实现颜色空间的均匀性而设计,但整体均匀性略逊于CIELab颜色空间。在某些区域,相同的颜色坐标变化可能会导致人眼感知到不同程度的颜色差异,这在精确的颜色匹配和色差评估中可能会带来一定的局限性。
CIELab颜色空间计算过程相对较为直观和简洁,在已知颜色的三刺激值X、Y、Z的情况下,通过一系列明确的转换公式可以较为容易地计算出L*、a*、b*值。而CIELuv颜色空间其计算过程相对复杂一些,特别是u和v值的计算涉及到对光谱数据的处理和特定的转换公式,需要更多的计算步骤和数据处理,这在一定程度上增加了使用的难度。
同类文章排行
- 色差仪红绿值a/△a值是怎么分析颜色偏差的?
- 色差仪分光测色仪精度指标重复性到底是什么意思?
- 色差仪L、a、b什么意思?色差仪L、a、b怎么看?
- CIELUV和CIELAB颜色空间之间存在什么关系?
- 色差仪L、a、b值与L、c、h值怎么转换?
- 颜色量化中与视觉感知有关的颜色空间类型
- 什么是色貌模型?色貌模型设计流程是怎么样的?
- RGB颜色空间及RGB与XYZ颜色空间的转换关系
- RGB、XYZ、LAB颜色空间之间的转换关系
- 色差仪常用颜色空间的色度值怎么看?
最新资讯文章
- 粉末颜色不好测?粉末颜色测量难点及测色方法解析
- 咖啡、番茄分光色差仪PS808CT助力食品行业品质升级
- D65光源是什么光源?D65光源光色及光谱解析
- 密度仪什么功能?密度计在印刷行业应用分析
- TL84光源是什么光源?TL84光源光谱是怎样的?
- D65光源光色什么特点?D65光源光谱是怎样的?
- 多角度色差仪测色原理及不同角度测试数据分析方法
- 便携式小口径色差仪测量草莓干颜色管控其颜色品质
- 色差仪红绿值a/△a值是怎么分析颜色偏差的?
- 色差仪分光测色仪精度指标重复性到底是什么意思?
- 标准光源箱CWF光源的光谱分布曲线是怎样的?
- 六光源箱配置的是哪六种光源?U30光源什么作用?
- 色差仪L、c、h值怎么看?色差仪L、c、h值什么用?
- 台式液体色度仪测量高粱酒颜色保证其颜色品质的稳定
- 色差仪L、a、b什么意思?色差仪L、a、b怎么看?
- NHG60M曲面光泽度仪怎么测啤酒易拉罐的光泽度?
- 颜色表色系统之PCCS颜色系统的标号规则是怎样的?
- TS7700分光测色仪测量肤色ITA°值评价化妆品美白效果
- 标准光源箱U30荧光光源的光色是怎样的?
- 光泽度仪测量角20°角和85°角有什么作用?




