颜色形成的基本原理及颜色的光谱特征介绍
颜色是光作用于人眼所形成的一种视觉上的反应,不同的光源由于光谱能量分布的不同,我们在不同的光源下所看到的颜色就会存在差异。本文对颜色形成的基本原理及颜色的光谱特征做了介绍。

颜色形成的基本原理:
颜色的形成是由于物体表面的反射光刺激人眼,信息传输至大脑视觉神经中枢所产生。颜色形成的三要素包括:光、物体、眼睛。光、物体、人眼在颜色形成过程中有着密不可分的关系,三者缺一不可。自然光在400nm-760nm波长范围内为人眼可见范围,由红、绿、蓝等不同的单色光组成。超出该范围的波段称为不可见光,其中低于400nm的波段称为紫外光,而高于760nm则为红外光。光是产生颜色的前提条件。
物体表面颜色的形成由光源照射在物体,经吸收、透射、反射,反映到人类视线的光色感知。物体表面分子结构不同,吸收反射光会产生差异,因此呈现的颜色不同。在自然界中,一切物体对入射光都有着自身固有的吸收和反射特征。眼睛视网膜上分布着大量结构复杂的视觉神经体。红、绿、蓝三色视锥细胞的合成构成了人眼可视的颜色。
颜色的光谱特征:
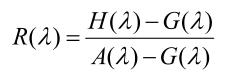
光源的光谱功率分布不仅对自身的光色属性起着决定性作用,而且对被照物体呈现在人眼中的颜色分布起着重要作用。实验中具有代表性的光源包括A光源、B光源、C光源、D65光源等。照射光在非发光物体表面发生吸收、透射、反射现象,从而形成了物体的颜色,照射光能量分布与呈现的颜色密切相关。当选用不同种类的光源分别照射在被测物体表面,物体根据本身特性吸收部分光能,未被吸收的光能则被物体反射,因此,人眼接收到的物体颜色会随着照射光的更换而发生改变。但是,不同的物体都有着属于自身固有的吸收波段,无论光源做出何种改变,其光谱反射率信息曲线基本稳定不变,反射率计算由公式所示:

其中:R(λ)为反射率值;H(λ)为被测物体反射光强值;A(λ)为光源入射光强值;G(λ)为测量环境背景光强值。
颜色测量中的相关术语:
1.颜色刺激:能够引起颜色知觉得可见辐射的辐通量称作颜色刺激。
2.三原色:能够匹配所有颜色的三种颜色称作三原色。匹配实验表明,能够匹配所有颜色的三种颜色不是唯一的。人们通常选用红、绿、蓝作为三原色,其原因是:①用不同量的红、绿、蓝三种颜色直接混合,几乎可得到经常使用的所有颜色。②红绿蓝三种颜色怡与人的视网膜上红视锥绿视锥和蓝视锥细胞所敏感的颜色相一致
3.三刺激值:在颜色匹配实验中,与待测色光达到色匹配所需要的三原色的量。三刺激值不是物理单位,而是用色度学单位来度量的。对于既定的三原色,每种颜色的三刺激值是唯一的,因而,可以用三刺激值来表示颜色。
4.光谱三刺激值:在颜色匹配实验中,匹配等能光谱色所需的三原色的量。等能光谱是各波长辐射能量相等。
同类文章排行
- 色差仪红绿值a/△a值是怎么分析颜色偏差的?
- 色差仪分光测色仪精度指标重复性到底是什么意思?
- 色差仪L、a、b什么意思?色差仪L、a、b怎么看?
- 色差仪CIELuv颜色空间是怎么表示颜色的?
- CIELUV和CIELAB颜色空间之间存在什么关系?
- 色差仪L、a、b值与L、c、h值怎么转换?
- 颜色量化中与视觉感知有关的颜色空间类型
- 什么是色貌模型?色貌模型设计流程是怎么样的?
- RGB颜色空间及RGB与XYZ颜色空间的转换关系
- RGB、XYZ、LAB颜色空间之间的转换关系
最新资讯文章
- 粉末颜色不好测?粉末颜色测量难点及测色方法解析
- 咖啡、番茄分光色差仪PS808CT助力食品行业品质升级
- D65光源是什么光源?D65光源光色及光谱解析
- 密度仪什么功能?密度计在印刷行业应用分析
- TL84光源是什么光源?TL84光源光谱是怎样的?
- D65光源光色什么特点?D65光源光谱是怎样的?
- 多角度色差仪测色原理及不同角度测试数据分析方法
- 便携式小口径色差仪测量草莓干颜色管控其颜色品质
- 色差仪红绿值a/△a值是怎么分析颜色偏差的?
- 色差仪分光测色仪精度指标重复性到底是什么意思?
- 标准光源箱CWF光源的光谱分布曲线是怎样的?
- 六光源箱配置的是哪六种光源?U30光源什么作用?
- 色差仪L、c、h值怎么看?色差仪L、c、h值什么用?
- 台式液体色度仪测量高粱酒颜色保证其颜色品质的稳定
- 色差仪L、a、b什么意思?色差仪L、a、b怎么看?
- NHG60M曲面光泽度仪怎么测啤酒易拉罐的光泽度?
- 颜色表色系统之PCCS颜色系统的标号规则是怎样的?
- TS7700分光测色仪测量肤色ITA°值评价化妆品美白效果
- 标准光源箱U30荧光光源的光色是怎样的?
- 光泽度仪测量角20°角和85°角有什么作用?




