色差仪常用测色模型Luv和Lab颜色模型
在色差仪的技术参数中,会对色差仪颜色空间做相应的规定。Luv(CIELuv)和Lab(CIELab)颜色模型是比较常见的两个颜色模型,也是色差仪颜色度量中常用的测色模型。对这两个颜色模型进行了解,有助于我们更好的进行颜色测量。本文对色差仪常用测色模型Luv和Lab颜色模型做了介绍。

色差仪常用测色模型Luv:
CIELuv颜色空间是CIE1976L*u*v*均匀颜色空间的简称,CILuv颜色空间的设计目标是使颜色空间中的欧几里得距离更接近人眼感知的颜色差异,即实现视觉上的均匀性。这使得在CIELuv颜色空间中计算得到的色差与人眼的实际感受更为相符,对于颜色的准确测量、比较和质量控制具有重要意义。
CIELuv颜色空间由L(亮度)、u*(绿-红方向的色度坐标)、v*(蓝-黄方向的色度坐标)构成。L表示颜色的明亮程度,含义与CIELab和CIELCh中的L一致,反映了颜色的明暗程度,取值范围从0(绝对黑色)到100(绝对白色)。u表示绿-红方向的色度,是描述颜色在红绿蓝维度上位置的一个参数。u值的正负和大小反映了颜色在该维度上的偏向和程度。u为正值时,表示颜色在该维度上偏向红色或黄色方向的程度;u*为负值时,表示颜色偏向绿色或蓝色方向的程度。v*表示蓝-黄方向的色度,v值的变化反映了颜色在另一个维度上的偏向和程度,与u相互配合来完整地表达颜色的色度特性。v值为正时,颜色偏向黄色或蓝色方向;v*值为负时,颜色偏向红色或绿色方向。
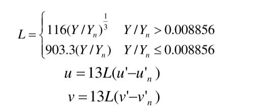
CIELuv颜色空间中,L*,u*,v*是X,Y,Z通过非线性变换得到的,同样用两点间的距离表示颜色之间的色差。从CIEXYZ颜色空间到CIELuv颜色空间的转换,可以利用下列公式来完成:

其中:u'=4X/(X+15Y+3Z),v'=9X(X+15Y+3Z),(Xn、Yn、Zn)定义为参考白色的对应值,u'n和v'n定义为参考白色的转换值,它们的定义可以参照u'和v'的定义方式。
色差仪常用测色模型Lab:
CIELab(L*a*b*)颜色模型是基于人对颜色的感觉建立起来的。Lab中的数值是描述正常视力的人能够看到的所有颜色。在Lab颜色空间中一个很小的颜色变化都可以通过人眼察觉出来。从Lab模式的概念中可以知道,L表示的是颜色的亮度,a通道显示的是从深绿——50%灰(中性灰)——亮粉红色。在这个通道的灰度图中,暗部表示的是绿色,小于128灰即50%灰为绿色,灰度值越接近50%灰,绿色的饱和度越小,灰度值越远即灰度值越小于50%灰,绿色的饱和度就越高,亮表示亮粉红色大于128度(或者是50%灰(中性灰))亮部显示图片的红色部分,越亮,饱和度越高,反之,接近中性灰(较暗的亮区)数值越接近128度灰,饱和度越小。b通道显示的是从亮蓝——50%灰(中性灰)——黄色,通道灰度图的亮区是黄色区域,亮度越高,饱和度越高,越接近50%中性灰,饱和度越低,通道灰度图的暗部为蓝色区域,显示区域越暗,饱和度越高,越接近50%中性灰,蓝色饱和度越低。这里给出一个提示,利用变暗模式组和变亮模式的组合可以通过计算或者应用图象混合通道来替换通道数值从而进行调色,调色的方式有很多,根据每个人的喜好,各有不同,当然也可以用叠加模式来改变数值,看会出现什么样的效果,总是会发现一些东西的。
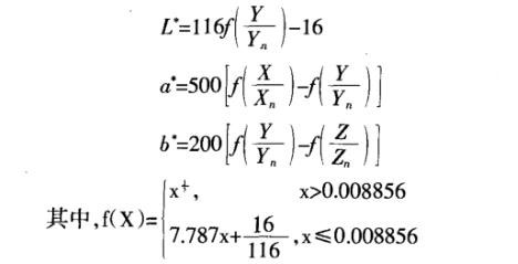
CIELab颜色空间是CIE1931XYZ标准色度学系统的非线性变换,它将XYZ直角坐标颜色空间转换为柱面极坐标,将三刺激值XYZ转换成与眼睛视觉相一致的明度L*和与色调、饱和度的感觉相一致的a*、b*。由CIEXYZ空间向L*a*b*颜色空间转换的公式为:

其中,在上面的公式中,X、Y、Z指的是物体的三刺激值,这三个属性值是在海明对立坐标理论的基础上建立起来的。Xn、Yn、Zn表示的是CIE标准照明体先照射在完全反射漫反射体上,再经其反射到人们眼中的白颜色物体的三刺激值。光源和观察者的条件分别以D65和10°条件为佳。在不同的光源以及观察者条件下,三刺激值是不同的。若采用D65标准照明体Xn=94.811,Yn=100.00,Zn=107.304。
同类文章排行
- 色差仪红绿值a/△a值是怎么分析颜色偏差的?
- 色差仪分光测色仪精度指标重复性到底是什么意思?
- 色差仪L、a、b什么意思?色差仪L、a、b怎么看?
- 色差仪CIELuv颜色空间是怎么表示颜色的?
- CIELUV和CIELAB颜色空间之间存在什么关系?
- 色差仪L、a、b值与L、c、h值怎么转换?
- 颜色量化中与视觉感知有关的颜色空间类型
- 什么是色貌模型?色貌模型设计流程是怎么样的?
- RGB颜色空间及RGB与XYZ颜色空间的转换关系
- RGB、XYZ、LAB颜色空间之间的转换关系
最新资讯文章
- 粉末颜色不好测?粉末颜色测量难点及测色方法解析
- 咖啡、番茄分光色差仪PS808CT助力食品行业品质升级
- D65光源是什么光源?D65光源光色及光谱解析
- 密度仪什么功能?密度计在印刷行业应用分析
- TL84光源是什么光源?TL84光源光谱是怎样的?
- D65光源光色什么特点?D65光源光谱是怎样的?
- 多角度色差仪测色原理及不同角度测试数据分析方法
- 便携式小口径色差仪测量草莓干颜色管控其颜色品质
- 色差仪红绿值a/△a值是怎么分析颜色偏差的?
- 色差仪分光测色仪精度指标重复性到底是什么意思?
- 标准光源箱CWF光源的光谱分布曲线是怎样的?
- 六光源箱配置的是哪六种光源?U30光源什么作用?
- 色差仪L、c、h值怎么看?色差仪L、c、h值什么用?
- 台式液体色度仪测量高粱酒颜色保证其颜色品质的稳定
- 色差仪L、a、b什么意思?色差仪L、a、b怎么看?
- NHG60M曲面光泽度仪怎么测啤酒易拉罐的光泽度?
- 颜色表色系统之PCCS颜色系统的标号规则是怎样的?
- TS7700分光测色仪测量肤色ITA°值评价化妆品美白效果
- 标准光源箱U30荧光光源的光色是怎样的?
- 光泽度仪测量角20°角和85°角有什么作用?




