CIEXYZ与CIELab颜色空间颜色信息的转换
颜色空间就是用数据表示颜色的方法,对一个颜色的表示,可以有多种数据表示模式,即多种颜色空间,也就是一种颜色空间的颜色信息可以转化到另一种颜色空间,以获取相同的颜色信息。本文对CIEXYZ与CIELab颜色空间颜色信息的转换做了介绍。

CIE1931XYZ颜色空间:
CIE1931XYZ颜色空间是国际照明委员会在进行了大量正常人视觉测量和统计的基础上,于1931年建立了“标准色度观察者”,从而奠定了标准色度学的定量基础。它是由三个假想X、Y、Z建立色度系统,将它们匹配等能光谱的三刺激值,定名为“CIE1931标准色度观察者光谱三刺激值”,CIE1931XYZ颜色空间是用X、Y、Z建立的颜色空间,同时匹配等能光谱各种颜色的三原色数值标准化,该颜色空间适合于2°视场,因此又称为“2°视场XYZ色度系统”。
CIE1976L*a*b*颜色空间:
CIE1976L*a*b*颜色空间(简称L*a*b*颜色空间)是由国际照明委员会制定的一种颜色空间。该空间是用三个值来描述颜色,即心理明度L*,心理色度a*、b*,这三个值反映了人对物体色的心理感受效果。自然界任何一种颜色都可以在L*a*b*色空间中准确地表达出来,这种模式是以数字化方式描述人的视觉感应,它与设备无关。
CIEXYZ与CIELab颜色空间颜色信息的转换:
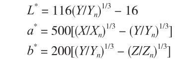
CIEL*a*b*颜色空间直接基于CIEXYZ颜色空间建立,使用MacAdam椭圆描述颜色差异,并由此建立了线性化的人眼视觉对颜色的视觉感知空间,是一种比CIEXYZ颜色空间更线性、更直观的颜色空间,也就是说颜色空间上相同数量的变化会产生大约相同视觉重要性的变化。CIELAB颜色空间来源于对ANLAB颜色空间的简化,是对三刺激值CIEXYZ颜色空间的非线性变换,即,

式中,X、Y、Z表示颜色样品的三刺激值,Xn、Yn、Zn表示同样照明条件下一个完全漫反射体表面的三刺激值。首先通过将三刺激值做归一化处理(即X/Xn、Y/Yn、Z/Zn),使用vonkries色适应变换函数,然后在通过CIE LAB公式中的立方根函数进行非线性压缩。
同类文章排行
- 色差仪红绿值a/△a值是怎么分析颜色偏差的?
- 色差仪分光测色仪精度指标重复性到底是什么意思?
- 色差仪L、a、b什么意思?色差仪L、a、b怎么看?
- 色差仪CIELuv颜色空间是怎么表示颜色的?
- CIELUV和CIELAB颜色空间之间存在什么关系?
- 色差仪L、a、b值与L、c、h值怎么转换?
- 颜色量化中与视觉感知有关的颜色空间类型
- 什么是色貌模型?色貌模型设计流程是怎么样的?
- RGB颜色空间及RGB与XYZ颜色空间的转换关系
- RGB、XYZ、LAB颜色空间之间的转换关系
最新资讯文章
- 粉末颜色不好测?粉末颜色测量难点及测色方法解析
- 咖啡、番茄分光色差仪PS808CT助力食品行业品质升级
- D65光源是什么光源?D65光源光色及光谱解析
- 密度仪什么功能?密度计在印刷行业应用分析
- TL84光源是什么光源?TL84光源光谱是怎样的?
- D65光源光色什么特点?D65光源光谱是怎样的?
- 多角度色差仪测色原理及不同角度测试数据分析方法
- 便携式小口径色差仪测量草莓干颜色管控其颜色品质
- 色差仪红绿值a/△a值是怎么分析颜色偏差的?
- 色差仪分光测色仪精度指标重复性到底是什么意思?
- 标准光源箱CWF光源的光谱分布曲线是怎样的?
- 六光源箱配置的是哪六种光源?U30光源什么作用?
- 色差仪L、c、h值怎么看?色差仪L、c、h值什么用?
- 台式液体色度仪测量高粱酒颜色保证其颜色品质的稳定
- 色差仪L、a、b什么意思?色差仪L、a、b怎么看?
- NHG60M曲面光泽度仪怎么测啤酒易拉罐的光泽度?
- 颜色表色系统之PCCS颜色系统的标号规则是怎样的?
- TS7700分光测色仪测量肤色ITA°值评价化妆品美白效果
- 标准光源箱U30荧光光源的光色是怎样的?
- 光泽度仪测量角20°角和85°角有什么作用?




